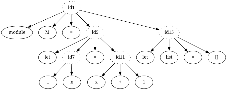
I'm playing with DOT output for debugging syntax trees from difftastic. Here's an F# snippet, the Debug representation, and the DOT rendered as an image.
I'm pleased with the information density on the graphic, but we'll see how often I end up using it.
miniblog.
Related Posts
I'm experimenting with syntax in examples. I don't really like Rust's `assert(inc(1) == 2)` syntax, I find it a little distracting.
I'm trying `inc(1) //-> 2`. The comment is rendered differently, and there's nothing before the sample code. What do you think?
.@asbradbury I receive the excellent @llvmweekly emails as unrendered markdown -- would it be possible to send rendered HTML?
Just realised that it's been years since I deliberately recorded a TV show. Catch-up websites have rendered it obsolete.







